知名熔斷器品牌型號對照(互換)一覽表
作者:天正客服 來源:未知 發表時間:2020-09-25
瀏覽:
熔斷器主要由熔體和安裝熔斷器的底座組成,實際應用中熔體串聯在被保護電路中,當電路發生短路故障時,熔體被瞬時熔斷從而分斷電路,起到保護作用。熔斷器就是一種短路保護器,廣泛應用于配電系統和控制系統,主要用于短路保護或過載保護。
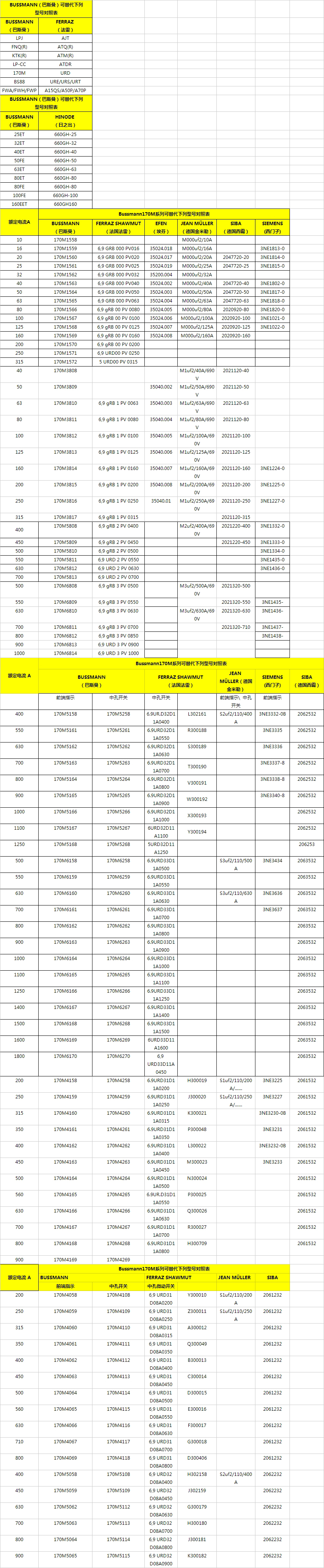
市面上較為知名的熔斷器品牌有很多,諸如Bussmann(博士曼);Mersen(梅爾森);FERRAZ(法國法雷);Efen(埃芬);Jean muller(金米勒);Siba(西霸)Siemens(西門子);HINODE(日之初)等。根據實際市場需求,各品牌熔斷器整體產品系列相差不大,下面就BUSSMANN歐標方體170M系列,快熔ET系列等與各品牌產品相關產品之間替換型號做一說明,供大家做選型參考,詳見下表:

上一篇:儲能電池充放電控制系統電氣產品應用 下一篇: 施耐德電氣品牌介紹
















